首页>> 其他>>新闻详情

如何设定科学合理的呼叫中心服务水平指标

2024-07-11 12:11  《4PS呼叫中心国际标准研究中心》  咨询电话:17317241681(微信同号)  作者:王厚东


设定科学合理的呼叫中心服务水平指标是确保运营效率和客户满意度的关键。为了实现这一目标,需要综合考虑客户满意度、运营成本和员工工作负荷等多个因素。常见的服务水平目标示例包括:80%的呼叫在20秒内接听,90%的呼叫在30秒内接听,95%的呼叫在45秒内接听,客户满意度评分保持在90分以上,放弃率低于5%。这些具体的数字和目标有助于为呼叫中心设定明确的绩效标准和改进方向。本文将详细探讨设定呼叫中心服务水平指标的各个关键步骤和建议。


分析历史数据


首先,分析历史数据是设定服务水平指标的基础。通过对历史呼叫量的趋势分析,可以确定呼叫中心的高峰时段和低谷时段。这一信息有助于合理安排员工的工作时间,以应对不同时间段的呼叫需求。除了呼叫量的趋势,分析平均处理时间和呼叫时长也是至关重要的。了解每次呼叫的服务需求,有助于估算处理每个呼叫所需的时间,从而为排班和资源分配提供依据。此外,分析客户等待时间可以帮助了解客户的耐心程度,即客户在等待多长时间后开始放弃呼叫。这些数据的分析不仅能帮助优化排班,还能为后续的服务水平指标设定提供重要参考。


了解客户期望


其次,了解客户期望是设定服务水平指标的重要一环。通过问卷调查或反馈机制,可以直接获取客户对服务速度和质量的期望。这种直接反馈有助于了解客户对呼叫中心服务的满意度以及他们的需求。此外,参考同行业的服务水平标准也是一个有效的方法。行业标准反映了普遍的市场期望和最佳实践,可以作为设定服务水平指标的参考点。通过对比同行业的服务水平,可以更好地了解自身的服务水平定位,确保服务水平的设定既符合客户期望,又具备竞争力。
确定关键指标

在了解历史数据和客户期望后,需要确定一些关键的服务水平指标。这些指标将作为评估呼叫中心绩效的标准。常见的服务水平指标包括服务水平、平均等待时间、客户满意度和放弃率。服务水平通常定义为在设定时间内接听的呼叫百分比,例如80%的呼叫在20秒内接听。平均等待时间是客户从进入队列到被接听的平均时间,直接影响客户体验。客户满意度通常通过调查或评分系统来衡量,反映客户对整体服务的评价。放弃率则是指在等待过程中放弃呼叫的客户比例,这一指标可以帮助衡量客户的耐心和服务效率。


建立数学模型


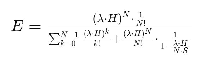
为了更科学地设定服务水平指标,可以使用排队理论或仿真模型来预测不同服务水平下的资源需求。Erlang-C公式是一种常用的方法,通过该公式可以计算出在特定服务水平目标下所需的坐席数量。公式如下:


图片

其中:
λ\lambdaλ 代表平均呼叫到达率
H 代表平均处理时间
N 代表坐席数量
S 代表目标服务水平时间(秒)
通过这种数学模型,可以在设定服务水平目标的基础上,合理预测所需的坐席数量,从而更好地进行资源配置。


考虑运营成本


在设定服务水平指标时,运营成本是一个不可忽视的因素。增加坐席数量虽然可以提高服务水平,但也会显著增加人力成本。因此,需要在高服务水平和低运营成本之间找到平衡。此外,通过技术投资提高效率也是一种有效的途径。呼叫中心软件和自动化工具可以显著提高处理效率,但这些技术的引入需要投入一定的成本。综合考虑人力成本和技术投资,可以在提高服务水平的同时,控制运营成本,实现效益最大化。


实施和监控


一旦设定了服务水平指标,实施和监控是确保其有效性的关键步骤。首先,可以进行试运行,收集实际数据进行验证和调整。通过试运行,可以发现潜在的问题,并在正式实施前进行调整。此外,定期监控服务水平指标,分析异常情况也是必不可少的。通过持续监控,可以及时发现并解决问题,确保服务水平指标的持续达标。

持续改进


最后,持续改进是确保服务水平指标长期有效的关键。建立客户和员工的反馈机制,不断优化服务流程。通过客户反馈,可以了解客户对服务的最新期望和评价,从而及时调整服务策略。员工的反馈则有助于了解他们在工作中的实际困难和需求,为进一步的优化提供参考。此外,定期培训和发展员工,提高他们的技能和应对能力,也是持续改进的重要组成部分。通过持续改进,可以不断提升呼叫中心的服务水平和客户满意度。


设定科学合理的呼叫中心服务水平指标是一个系统性的过程,需要综合考虑历史数据、客户期望、运营成本和员工工作负荷等多个因素。通过建立数学模型和持续监控,确保服务水平指标的科学性和可执行性,从而提升客户满意度和运营效率。通过持续改进,不断优化服务流程和提升员工能力,可以实现呼叫中心服务水平的持续提升,为客户提供优质的服务体验。






共0条评论网友评论
  • 全部评论
共0条记录(共页)
向您推荐

新闻 按行业分类

厂商 按产品分类


        
总机:021-51601170 直线:021-58307717,17317241681(微信同号) 电子邮件:cct@51callcenter.com  泸ICP备10026114号-4  行业交流俱乐部QQ:2919157212
地址:上海市浦东新区牡丹路60号东辰大厦810室  邮编:201204 上海趋天网络技术服务有限公司 版权所有(2002-2018)